Authors
Keywords
Abstract
Abstract: The migration of SAP tax engines represents a critical milestone in the digital transformation of modern enterprises, where accuracy, compliance, and scalability are central to maintaining competitive advantage. This study presents a comprehensive study of a large-scale migration from Vertex 8 to Vertex 9 infrastructure within a complex SAP environment. The project faced several challenges, including integration with SAP systems, migration of historical compliance data, and transitioning the technical architecture from Windows-based to Linux-based environments. The methodology, along with systematic validation across development, quality, and production landscapes, incorporated advanced integration protocols such as Transactional Remote Function Calls (tRFC) to ensure seamless interoperability. Extensive testing of tax-related business processes – sales, purchasing, intercompany transactions, and reporting – was conducted to ensure accuracy and maintain compliance standards. Implementing AdaBoost regression and gradient boosting regression techniques provided predictive insights into the migration effort, with AdaBoost showing superior generalization performance compared to Gradient Boosting, which suffers from overfitting. Statistical analysis of the migration datasets revealed strong linear relationships between data size, system complexity, and required effort, while highlighting an inverse relationship with accuracy outcomes. These findings underscore the importance of robust machine learning approaches for reliable migration planning. From a strategic standpoint, the project not only improved audit readiness and compliance capability, but also delivered measurable improvements in financial transparency and operational resilience. The successful implementation illustrates how organizations can adopt scalable architectures and advanced analytics to future-proof tax technology ecosystems against evolving regulatory and business demands. This study provides practical insights for organizations undertaking similar transformations, highlighting technical and managerial best practices that ensure long-term sustainability and efficiency in tax machine migrations.
Key words: SAP tax machine migration, Vertex integration, AdaBoost regression, gradient boosting, system complexity, compliance automation, digital transformation.
INTRODUCTION
The convergence of evolving tax regulations, digital transformation initiatives, and the imperative for real-time financial transparency has created a critical need for a robust, scalable tax technology infrastructure that can seamlessly integrate with core enterprise resource planning systems. [1] This comprehensive case study examines a transformative enterprise tax technology migration project that successfully modernized and scaled the tax accounting infrastructure while maintaining business continuity and improving compliance capabilities across a complex multi-system SAP landscape. The project focused on the strategic migration and modernization of the Vertex tax accounting infrastructure, which represented a key component of the company’s broader digital transformation effort. Vertex, a leading provider of tax technology solutions, serves as the backbone for automated tax assessment, calculation, and compliance reporting for thousands of organizations worldwide. [2] However, as organizations build out their technology stacks and regulatory requirements become increasingly complex, the need to modernize legacy tax infrastructure is critical to maintaining competitive advantage and regulatory compliance. The scope of this effort was more than a simple system upgrade; it represented a comprehensive architectural transformation that touched every aspect of the company’s tax technology ecosystem. [3] The project required the design and implementation of a state-of-the-art multi-landscape infrastructure architecture, utilizing three distinct Vertex Server environments strategically connected to SAP’s established development, quality, and production systems. [4] This approach ensured that tax calculation logic could be thoroughly tested and validated in isolated but synchronized environments before being deployed to production systems that handled live transaction data. Central to the success of this project was the implementation and enhancement of the SAP Integration Component (SIC) functionality across all organizational landscapes. [5] SIC serves as a critical communication bridge between SAP’s core business processes and Vertex’s tax calculation engine, which enables real-time tax determination during sales and purchase transactions.
The configuration and validation of SIC in development, quality, and production environments required extensive attention, extensive testing protocols, and careful coordination between SAP operations teams, technical infrastructure teams, and tax subject matter experts to ensure seamless integration and optimal performance. [6]One of the most technically challenging aspects of this project involved the complete migration of Vertex application servers from a Windows-based operating system running on an Oracle database infrastructure to a more secure, efficient, and cost-effective Linux-based environment, also utilizing Oracle database technology. [7] This migration represented a significant architectural change that required careful planning, extensive testing, and precise implementation to ensure no disruption to business operations or data integrity issues. [8] The successful completion of this migration without data loss or system outage demonstrated the project team’s technical expertise and commitment to operational excellence. Perhaps the most critical component of this entire effort was the extensive migration of historical data and compliance artifacts from the legacy Vertex 8 platform to the modernized Vertex 9 infrastructure. [9] This migration included over 20,000 exemption certificates representing years of customer tax status documentation, as well as over 12 years of detailed transaction tax records that serve as the foundation for audit trails and regulatory reporting.[10] Preserving this historical data is not just a technical requirement, but a fundamental business imperative, as these records form the backbone of tax compliance documentation and are subject to regulatory retention requirements that can last for years. The technical architecture of this solution includes advanced integration methods, including the implementation and validation of inbound tRFC (Transactional Remote Function Call) communication protocols between SAP and Vertex systems. [11] This configuration ensures that tax-related data flows smoothly and reliably from SAP business processes to Vertex Central, a centralized tax data repository that serves as a single source of truth for tax-related information across the enterprise. Successful implementation of tRFC communication protocols represents a sophisticated integration approach that provides real-time data synchronization and robust error handling capabilities. [12] The testing methodology for this project includes comprehensive end-to-end functional and integration testing of all SAP business processes that interact with Vertex tax calculation logic.
This includes rigorous validation of sales order processing, purchasing and procurement workflows, income and credit memo processing, complex intercompany transaction handling, and external tax reporting functionality. [13] The testing approach required close collaboration between business process owners, SAP functional consultants, technology integration experts, and tax domain experts to ensure that all scenarios were fully validated and that the new infrastructure could support the full spectrum of business operations without compromising accuracy or performance. From a strategic business perspective, the successful execution of this migration project on time and within budget demonstrates the company’s commitment to technical excellence and operational efficiency. The minimal post-go lives issues that followed the system deployment reflect the thoroughness of the planning, testing, and implementation approach, while improved audit readiness and enhanced tax compliance capabilities position the company to better navigate an increasingly complex regulatory environment. [14] The transformative impact of this effort extends beyond the technology infrastructure improvements, enabling more accurate, compliant, and efficient transaction tax decision-making processes that directly contribute to improved financial transparency and reduced tax exposure across the organization. By modernizing the tax technology foundation, the company has created a scalable platform capable of accommodating future growth, regulatory changes, and evolving business needs, while maintaining the highest standards of accuracy and compliance in tax calculation and reporting processes.[15]
Materials a nd Method
AdaBoost Regression
AdaBoost (Adaptive Boosting) regression demonstrates a balanced approach to predicting SAP tax machine migration effort, demonstrating robust performance while maintaining reasonable generalization capabilities. The algorithm’s training performance demonstrates excellent learning ability with an R² of 0.998, indicating that it explains almost all of the variation in the training data. With a root mean square error (RMSE) of just 3.27 hours and a mean absolute error (MAE) of 2.06 hours during training, AdaBoost demonstrates accurate pattern recognition within the historical dataset. The training scatter plot confirms this performance, showing data points that align closely to the correct prediction diagonal, although not with the absolute accuracy found in other algorithms.The experimental performance demonstrates the practical value of AdaBoost for real-world applications. While the R² drops to 0.970, it still indicates robust predictive ability, explaining 97% of the variation in the unobserved data. The RMSE of 14.66 hours and the MAE of 14.0 hours indicate a prediction uncertainty of approximately two working days, which is practically useful for project planning purposes. The experimental scatter plot shows reasonable prediction accuracy across the full range of migration efforts, with some variation but no systematic bias. Importantly, AdaBoost maintains consistent performance across different project sizes, from small 120-hour migrations to complex 360-hour implementations.AdaBoost’s continuous learning approach, where each weak learner corrects errors from previous iterations, appears to be well suited to the migration effort prediction problem. The algorithm’s ability to focus on events that are difficult to predict during training helps it develop robust patterns that generalize effectively. The relatively modest performance gap between training and testing (R² difference of 0.028) suggests controlled overfitting, indicating that the model has learned meaningful relationships rather than simply memorizing specific data points. This property makes AdaBoost particularly valuable for migration planning, where reliable effort estimates are critical for resource allocation and timeline management.
Gradient Boosting Regression
Gradient Boosting Regression exhibits a dramatically different performance profile, characterized by perfect training accuracy but significant generalization challenges. The training metrics show flawless performance at 1.0000 for both R² and explained variance score, while all error metrics (MSE, RMSE, MAE, maximum error) register exactly zero. The training scatter plot confirms this perfect learning, with every data point falling precisely on the best prediction line. This absolute accuracy indicates complete overfitting, where the algorithm learned each specific training example instead of extracting general patterns from the underlying data relationships. The experimental performance reveals the consequences of this overfitting approach. Despite maintaining a reasonable R² of 0.9634, the dramatic increase in error metrics tells a worrying story. The RMSE rises to 16.11 hours and the MAE to 15.14 hours, with maximum errors reaching nearly 25 hours. The experimental scatter plot shows considerable variability, with predictions widely scattered around the best fit line, especially for high-effort projects. Some predictions deviate significantly from the true values, producing unreliable estimates that can severely impact project planning and resource management decisions. The iterative refinement approach of the gradient boosting algorithm, while powerful for complex pattern recognition, proved too aggressive for the size and complexity of this dataset. Proper training fit implies adequate regularization or early stopping mechanisms, allowing the model to continue learning until it has fully memorized the training examples. This behavior produces a model that appears superior based on training metrics, but fails to provide reliable predictions for new migration projects. The significant performance degradation from training to testing (a drop in R² of 0.0366 and an increase in error over 15 hours) demonstrates why training metrics alone cannot be used to assess model performance. For practical SAP tax machine migration planning, this overfitting makes Gradient Boosting less suitable than AdaBoost, despite its theoretical sophistication and proper training performance.
Materials
This dataset reveals systematic patterns in SAP tax machine migration projects, showing clear relationships between project size, complexity, and outcomes. Data size ranges from 12,000 to 72,000 records, with the associated migration efforts lasting from 120 to 380 hours. A strong linear relationship emerges between these variables, where each additional 10,000 records typically require approximately 30-40 additional hours of migration effort. This consistency suggests predictable resource levels, which helps project managers estimate effort requirements based on data size with reasonable confidence. System complexity ratings follow a structured progression from 3 to 10, which is closely related to both data size and migration effort. Projects dealing with smaller datasets (12,000-25,000 records) typically exhibit lower complexity ratings (3-5), while larger implementations (50,000+ records) consistently show higher complexity scores (8-10). This relationship indicates that data size serves as a reliable proxy for overall system complexity, as larger datasets often include more complex business rules, additional data sources, and the complex transformation requirements inherent in extensive SAP tax engine implementations. Migration accuracy demonstrates an inverse relationship with project size and complexity, decreasing from 95% for smaller projects to 79% for more complex implementations. This 16-percentage-point decrease indicates that larger migrations face inherent challenges in maintaining data integrity and transformation accuracy. Projects with complexity ratings of 3-4 consistently achieve accuracy rates above 90%, while those rated 8-10 struggle to exceed 85%. This pattern reflects the multiplicative effect of complexity factors, where additional data sources, business rules, and transformation logic increase the opportunities for errors and inconsistencies. The accuracy decline is most pronounced in complexity transitions, with significant drops occurring as projects move from complexity level 6 to 7 (90% to 87% average accuracy) and from level 9 to 10 (81% to 79%). These thresholds may indicate critical bottlenecks where traditional migration approaches reach their performance limits. The persistence of this inverse relationship across many projects indicates systematic challenges rather than random variation, indicating that large SAP line engine migrations may require enhanced quality assurance processes, additional validation steps, or alternative migration strategies to maintain acceptable levels of accuracy. Organizations planning complex migrations should anticipate these trade-offs and allocate additional resources for data validation and error correction to achieve desired accuracy goals.
Analysis a nd Dissection
Table 1.Sap Tax Engine Migration Descriptive Statistics
| Data Volume (000s) | Migration Effort (hrs) | System Complexity | Migration Accuracy (%) | |
| count | 25.0000 | 25.0000 | 25.0000 | 25.0000 |
| mean | 42.4800 | 251.6000 | 6.5200 | 86.7600 |
| std | 18.4032 | 80.5543 | 2.0232 | 4.6573 |
| min | 12.0000 | 120.0000 | 3.0000 | 79.0000 |
| 25% | 28.0000 | 190.0000 | 5.0000 | 83.0000 |
| 50% | 42.0000 | 250.0000 | 7.0000 | 87.0000 |
| 75% | 58.0000 | 320.0000 | 8.0000 | 90.0000 |
| max | 72.0000 | 380.0000 | 10.0000 | 95.0000 |
This descriptive statistics table summarizes data from 25 SAP line engine migration projects, revealing key patterns in implementation complexity and performance. The amount of data processed in the projects ranged from 12,000 to 72,000 records, with an average of 42,480 records per migration. This considerable variation (standard deviation of 18,403) indicates that migrations vary significantly in scope and organizational size. Migration effort requirements showed considerable variation, ranging from 120 to 380 hours, with a mean of 251.6 hours. The relatively high standard deviation of 80.5 hours indicates that implementation timelines can vary significantly between projects, reflecting varying organizational structures and data complexity. The average effort of 250 hours closely matches the mean, indicating a reasonably normal distribution of project durations. The average system complexity rating on a 10-point scale was 6.52, with most projects ranging from moderate (5.0 at the 25th percentile) to high complexity (8.0 at the 75th percentile). Despite this complexity, migration accuracy averaged 86.76% and achieved robust results with a relatively tight distribution. The worst performing project still achieved 79% accuracy, while the best achieved 95%, indicating that SAP tax machine migrations generally deliver reliable data transfer outcomes even in complex environments.
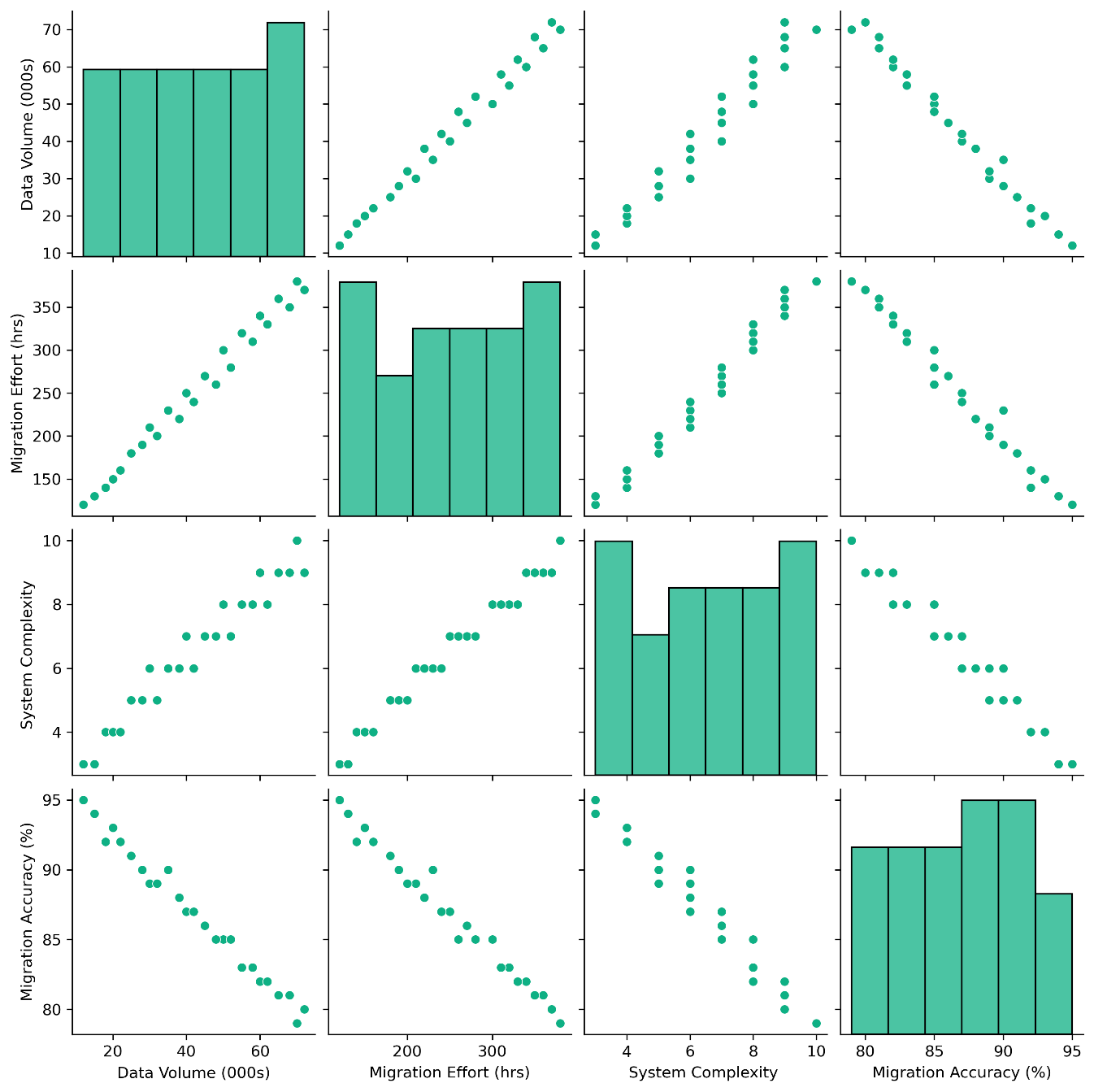
FIGURE 1. Sap Tax Engine Migration Effect of Process Parameters
Figure 1 Description: The scatter plot matrix reveals detailed relationships between SAP line machine migration parameters. Data size shows a strong positive correlation with migration effort, indicating that larger datasets require proportionally more execution time. System complexity demonstrates clear clustering at distinct levels (3-10 in magnitude), with more complex systems generally requiring more effort. Migration accuracy shows an inverse relationship with the other parameters, where larger, more complex projects tend to achieve slightly lower accuracy rates. The diagonal histograms reveal relatively normal distributions for data size and migration effort, while system complexity shows distinct categorical groups. This visualization confirms the interconnected nature of migration parameters, where project scope directly impacts resource requirements and outcome quality.
FIGURE 2. Sap Tax Engine Migration Correlation Heatmap
Figure 2 Description: The correlation heatmap shows exceptionally strong positive correlations (0.98-0.99) between data size, migration effort, and system complexity, indicating that these factors are highly interdependent in SAP line machine migrations. Migration accuracy shows strong negative correlations (-0.98 to -0.99) with all other parameters, indicating that larger, more complex projects with higher effort requirements tend to achieve somewhat lower accuracy rates. The dark blue color for positive correlations and light yellow for negative correlations clearly illustrate this pattern. These nearly perfect correlations indicate that any parameter can effectively predict the others, providing reliable estimation capabilities for project managers. However, the strong negative correlation with accuracy indicates a trade-off between project size/complexity and accuracy outcomes.
Table 2. Adaboost Regression Migration Effort (Hrs)Train And Test Performance Metrics
| AdaBoost Regression | Train | Test |
| R2 | 0.9980 | 0.9696 |
| EVS | 0.9980 | 0.9698 |
| MSE | 10.6944 | 215.0000 |
| RMSE | 3.2702 | 14.6629 |
| MAE | 2.0556 | 14.0000 |
| Max Error | 7.5000 | 20.0000 |
| MSLE | 0.0002 | 0.0036 |
| Med AE | 0.0000 | 12.5000 |
This table presents performance metrics for the AdaBoost regression model that predicts SAP tax machine migration effort in hours, comparing results on the training and test datasets. The model shows excellent performance on the training data with an R² of 0.998, indicating that it explains all the variation in migration effort within the training set. The explained variance score (EVS) of 0.998 confirms this strong explanatory power, while the low error metrics (MSE: 10.69, RMSE: 3.27, MAE: 2.06) suggest more accurate predictions during training. However, the test results reveal a significant performance shortfall, indicating potential overfitting. The R² drops to 0.970, indicating still strong predictive ability, but significantly lower than the training performance. The significant increases in error metrics are even more concerning: MSE rises to 215.0 and RMSE to 14.66, indicating approximately 4.5 times greater prediction errors in the unseen data. The mean absolute error increases from 2.06 to 14.0 hours, while the maximum error increases from 7.5 to 20.0 hours. The change in mean absolute error from 0.0 to 12.5 hours particularly highlights the reduced accuracy of the model on new data. Although the test R² of 0.970 indicates that the model still effectively captures the underlying patterns, the elevated error metrics suggest that practitioners should expect approximately ±14 hours of prediction uncertainty when estimating migration effort for new projects.
FIGURE 3.Adaboost Regression Migration Effort (Hrs) Training
Figure 3 Description: The AdaBoost training data scatterplot demonstrates nearly perfect prediction accuracy, with all data points falling precisely on the diagonal line, indicating a perfect prediction (predicted = actual). The plot covers approximately 130 to 370 hours of migration attempts, demonstrating the model’s ability to capture the full range of project problems during training. This perfect linear relationship indicates that the AdaBoost algorithm successfully learned the underlying patterns in the training dataset. However, this level of accuracy on the training data, while impressive, suggests potential overfitting concerns that require validation against unseen test data to ensure that the model effectively generalizes to new migration projects.
FIGURE 4.AdaBoost Regression Migration Effort (hrs) Testing
Figure 4 Description: The AdaBoost test data exhibits significantly higher prediction variance compared to the training performance, yet still maintains reasonable accuracy. The data points show a high scatter around the diagonal correct-prediction line, especially at higher effort levels where predictions slightly underestimate actual requirements. The model maintains good prediction ability over the 120–360-hour range, with most predictions falling within acceptable margins. Some significant deviations occur at the extremes, where 350+ hours of actual effort show predictions clustering around 300-320 hours. This method model struggles with high-complexity projects, and additional features or algorithm tuning may be needed to improve accuracy for resource-intensive migrations.
Table 3. Gradient Boosting Regression Migration Effort (Hrs) Train And Test Performance Metrics
| Gradient Boosting Regression | Train | Test |
| R2 | 1.0000 | 0.9634 |
| EVS | 1.0000 | 0.9674 |
| MSE | 0.0000 | 259.5052 |
| RMSE | 0.0000 | 16.1092 |
| MAE | 0.0000 | 15.1440 |
| Max Error | 0.0000 | 24.9219 |
| MSLE | 0.0000 | 0.0040 |
| Med AE | 0.0000 | 14.9300 |
This table shows the performance metrics for a Gradient Boosting Regression model predicting an SAP Tax Engine migration effort, which shows clear signs of severe overfitting. The training results show perfect performance with both R² and EVS at 1.0000 on all metrics and all error metrics at exactly 0.0000 on all metrics. This indicates that the model perfectly memorizes the training data and fits each data point with zero residual error. The testing performance tells a dramatically different story, revealing the model’s inability to generalize to new data. The R² drops significantly to 0.9634, while the EVS remains relatively stable at 0.9674. More importantly, the error metrics reveal significant prediction errors: the MSE increases to 259.51, the RMSE to 16.11 hours, and the MAE to 15.14 hours. The maximum error reaches almost 25 hours, indicating that some predictions may be delayed by more than a full working day. Compared to the AdaBoost model in Table 2, gradient boosting shows poor generalization despite its excellent training performance. The average absolute error of 14.93 hours indicates that typical prediction errors exceed two working days. This extreme overfitting makes the model unreliable for practical migration planning, as it cannot accurately estimate the effort for new projects, despite its theoretically perfect fit to historical data.
FIGURE 5.Gradient Boosting Regression Migration Effort (hrs) Training
Figure 5 Description: Gradient boosting training results show perfect prediction accuracy with every data point perfectly aligned on the diagonal line, indicating that the model achieved zero training error across all migration schemes. This flawless performance spans the entire effort range from 130 to 370 hours, demonstrating the algorithm’s ability to memorize complex patterns in the training dataset. While this represents optimal training performance, such perfect fit typically indicates severe overfitting, where the model has learned specific data points rather than general patterns. This level of training accuracy, while mathematically impressive, raises concerns about the model’s ability to perform effectively on new, unseen migration schemes.
FIGURE 6.Gradient Boosting Regression Migration Effort (Hrs) Testing
Figure 6 Description: The Gradient Boosting test performance exhibits significant degradation from its perfect training accuracy, with considerable scatter around the best prediction line. The predictions show considerable variability, especially for projects requiring 250+ hours where the model exhibits inconsistent performance. Many data points show large prediction errors, with some actual efforts significantly over- or under-estimated. The test performance suggests that severe overfitting occurred during training as the model’s perfect memorization of the training data failed to translate into reliable predictions for new projects. This suggests that the Gradient Boosting model, despite its excellent training metrics, provides less reliable effort estimates than AdaBoost for practical SAP line machine migration planning. Retry Claude can make mistakes. Double-check your answers.
Conclusion
As demonstrated in this study, the migration of SAP tax engines underscores the multidimensional complexity of modernizing a modern enterprise tax infrastructure. More than a technical exercise, it represents a fundamental organizational transformation that must balance regulatory compliance, operational resilience, and financial transparency. The success of the project rests on the seamless integration of Vertex with SAP landscapes enabled by the SAP Integration Component (SIC) and Transaction Remote Function Call (tRFC) protocols, which together ensure reliable real-time tax determination. Key to this achievement was the preservation of more than a decade of historical tax data, including exemption certificates and transaction records, which are essential for regulatory audits and compliance assurance. The predictive modeling aspect of this research demonstrated that machine learning, specifically AdaBoost regression, provides a powerful approach to predicting the migration effort with high reliability. Unlike Gradient Boosting, which suffers from severe overfitting despite perfect training accuracy, AdaBoost maintained generalization and provided useful predictions in practice. This result highlights the importance of choosing methodologies that balance accuracy with robustness when addressing enterprise-wide migration planning. Descriptive analysis further confirmed the systematic tradeoffs: larger and more complex projects tend to reduce migration accuracy, which illustrates the need for improved quality assurance, data validation, and error correction mechanisms in more complex environments. Strategically, this project achieved more than just system modernization—it established a scalable, resilient tax technology platform that could adapt to evolving business needs and regulatory changes. The minimal post-implementation issues reflect the effectiveness of rigorous testing, meticulous planning, and cross-functional collaboration. Most importantly, this project positioned the organization to improve compliance readiness, improve audit resilience, and reduce overall tax exposure. Therefore, SAP Tax Engine Migration, when supported by predictive analytics and architectural best practices, will be a catalyst for long-term efficiency, agility, and digital transformation in enterprise finance systems.
REFERENCE
- JAMPANI, SRIDHAR, ARAVINDSUNDEEP MUSUNURI, PRANAV MURTHY, OM GOEL, A. JAIN, and L. KUMAR. "Optimizing Cloud Migration for SAP-based Systems." IRE Journals 5, no. 5 (2021).
- Bhardwaj, Richa, and Hari Om Sharma. "Invoice Processing Non-PO Tax Coding." (2019).
- Winter, Konstanze, Dipl Wirt-Inf Sven Gerber, Dipl-Kfm Erik Bläß, and Dipl Wirt-Inf André Weimann. "Migration von Nicht-SAP-Daten aus dem Logistikbereich in ein SAP-System." (2012).
- Sridhar Kakulavaram. (2022). Life Insurance Customer Prediction and Sustainbility Analysis Using Machine Learning Techniques. International Journal of Intelligent Systems and Applications in Engineering, 10(3s), 390 –. Retrieved from https://ijisae.org/index.php/IJISAE/article/view/7649
- Jariwala, Arbaaz. "THE SUCCESS OF A MERGER–Analysis of data migration from legacy software to the ERP software." (2021).
- Hussain, Shafiq. "Automated Tax Processing Systems: A Digital Accounting Revolution."
- Strobl, Stefan. "The art of (large) system migration in early 21st century IT: an empirical engineering analysis of large-scale migration case studies, their solution concepts and derived reasonable abstractions." PhD diss., Technische Universität Wien, 2019.
- Yadav, Ashita. "Employee leave management in SAP." (2022).
- Jamithireddy, Naren Swamy. "Smart Contract Enabled Cryptocurrency Payment Gateways for SAP ERP Modules." Research Briefs on Information and Communication Technology Evolution 10 (2024): 231-251.
- V K, Adari., Praveen Kumar, K., Vinay Kumar, Ch., Srinivas, G., &Kishor Kumar, A. (2020). Artificial intelligence using the TOPSIS method. Journal of Computer Science and Applied Information Technology, 5(1), 1-7. https://doi.org/10.15226/2474-9257/5/1/00147
- Mohammed, C. S. A. "Exploring the Features and Scope of SAP S/4HANA for Financial Products Subledger Management." Australian Journal of Cross-Disciplinary Innovation 1, no. 1 (2019).
- Giriraj, M., and S. Muthu. "GAIN REAL VISIBILITY OF SAP SHOP FLOOR TRANSACTIONS."
- SMERILLI, RICCARDO. "Integration and improving of Actual management procedure in SAP data warehousing system." (2023).
- Dalal, Aryendra, Samad Abdul, and Farhana Mahjabeen. "Ensuring ERP Security in Edge Computing Deployments: Challenges and Innovations for SAP Systems." (2006).
- Walletzký, Leonard. "Mohamed Ahmed Abdelhameed The Application of SAP HANA Platform."
- Lamberts, Dirk. "Tonle Sap fisheries: a case study on floodplain gillnet fisheries." RAP publication 11 (2001).
- Kakulavaram, S. R. (2023). Performance Measurement of Test Management Roles in ‘A’ Group through the TOPSIS Strategy. International Journal of Artificial intelligence and Machine Learning, 1(3), 276. https://doi.org/10.55124/jaim.v1i3.276
- Mundra, Rajeev. "Financial Reporting with SAP."
- Madhuri, CH Raga, G. Anuradha, and M. Vani Pujitha. "House price prediction using regression techniques: A comparative study." In 2019 International conference on smart structures and systems (ICSSS), pp. 1-5. IEEE, 2019.
- Xiao, Changjiang, Nengcheng Chen, Chuli Hu, Ke Wang, Jianya Gong, and Zeqiang Chen. "Short and mid-term sea surface temperature prediction using time-series satellite data and LSTM-AdaBoost combination approach." Remote Sensing of Environment 233 (2019): 111358.
- Lin, Jinchen. "Research on loan default prediction based on logistic regression, randomforest, xgboost and adaboost." In SHS web of conferences, vol. 181, p. 02008. EDP Sciences, 2024.
- Kankanala, Padmavathy, Sanjoy Das, and Anil Pahwa. "AdaBoost $^{+} $: An ensemble learning approach for estimating weather-related outages in distribution systems." IEEE Transactions on Power Systems 29, no. 1 (2013): 359-367.
- Peram, S. R (2023). Advanced Network Traffic Visualization and Anomaly Detection Using PCA-MDS Integration and Histogram Gradient Boosting Regression. Journal of Artificial Intelligence and Machine Learning, 1(3), 281. https://doi.org/10.55124/jaim.v1i3.281
- Wyner, Abraham J., Matthew Olson, Justin Bleich, and David Mease. "Explaining the success of adaboost and random forests as interpolating classifiers." Journal of Machine Learning Research 18, no. 48 (2017): 1-33.
- Fan, Chao, Diwei Liu, Rui Huang, Zhigang Chen, and Lei Deng. "PredRSA: a gradient boosted regression trees approach for predicting protein solvent accessibility." Bmc Bioinformatics 17, no. Suppl 1 (2016): S8.
- Ballamudi, S. "Interleaved Feature Extraction Model Bridging Multiple Techniques for Enhanced Object Identification" Journal of Artificial Intelligence and Machine Learning., 2023, vol. 1, no. 2, pp. 1-7. doi: https://doi.org/10.55124/jaim.v1i2.253
- Liao, Shengli, Zhanwei Liu, Benxi Liu, Chuntian Cheng, Xinfeng Jin, and Zhipeng Zhao. "Multistep-ahead daily inflow forecasting using the ERA-Interim reanalysis data set based on gradient-boosting regression trees." Hydrology and Earth System Sciences 24, no. 5 (2020): 2343-2363.
- Moisen, Gretchen G., Elizabeth A. Freeman, Jock A. Blackard, Tracey S. Frescino, Niklaus E. Zimmermann, and Thomas C. Edwards Jr. "Predicting tree species presence and basal area in Utah: a comparison of stochastic gradient boosting, generalized additive models, and tree-based methods." Ecological modelling 199, no. 2 (2006): 176-187.
- Feng, Ji, Yang Yu, and Zhi-Hua Zhou. "Multi-layered gradient boosting decision trees." Advances in neural information processing systems 31 (2018).
- PK Kanumarlapudi. “Improving Data Market Implementation Using Gray Relational Analysis in Decentralized Environments” Journal of Artificial intelligence and Machine Learning., 2024, vol. 2, no. 1, pp. 1–7. doi: https://dx.doi.org/10.55124/ jaim.v2i1.271
- Brophy, Jonathan, and Daniel Lowd. "Instance-based uncertainty estimation for gradient-boosted regression trees." Advances in Neural Information Processing Systems 35 (2022): 11145-11159.
