Authors
Keywords
Abstract
Nanotechnology plays a crucial role in improving the properties of composite materials by incorporating nano-fillers, which enhance mechanical, thermal, and electrical performance. The integration of nano-fillers at different concentrations (%) significantly influences the overall properties of the composites. A precise balance of nano-filler concentration is essential, as an optimal amount leads to improved strength and durability, while excessive loading can cause agglomeration, leading to reduced performance. Generally, studies show that nano-filler concentrations ranging from 0.5% to 5% by weight yield optimal enhancements in tensile strength, toughness, and impact resistance. Processing temperature (°C) is another critical parameter in nanocomposite fabrication. The uniform dispersion of nano-fillers within the polymer or metal matrix requires controlled processing conditions to avoid defects and inconsistencies. Higher processing temperatures facilitate better matrix-filler interaction, enhancing the mechanical properties of the final composite. However, extreme temperatures can degrade the polymer matrix or lead to unwanted phase transformations in metal composites, thereby compromising performance. Researchers have observed that maintaining a processing temperature between 150°C and 300°C is ideal for ensuring effective nano-filler dispersion and strong interfacial bonding. Curing time (hours) is also a vital factor in determining the final properties of nano composites.
Proper curing ensures cross-linking and strong interfacial adhesion between the nano-fillers and the composite matrix. Insufficient curing time results in incomplete bonding, reducing strength and durability, while excessive curing can lead to brittleness. Studies indicate that curing durations between 2 to 6 hours are typically effective, depending on the material system and processing conditions. Optimizing curing parameters is essential for achieving a well-structured and high-performance composite material. Tensile strength (MPa) is a key mechanical property influenced by the incorporation of nano-fillers. The addition of nanoparticles such as carbon nanotubes (CNTs), graphene, silica, or nano-clay improves load transfer efficiency, thereby increasing tensile strength. Experimental data suggest that with a 1–5% nano-filler concentration, tensile strength improvements of up to 50% have been observed compared to conventional composites. The interplay between nano-filler concentration, processing temperature, and curing time is crucial in achieving superior composite performance. The continuous advancement in nano-filler technology and processing techniques will further expand the potential of nano composites, paving the way for stronger, lighter, and more resilient materials in various engineering applications.
Introduction
The unique properties of nonmaterial’s arise from their extremely small size, typically in the range of 1 to 100 nanometers, which results in an increased surface area and quantum effects that are absent in bulk materials. These properties enable them to reinforce the composite matrix effectively, leading to improved strength, flexibility, and toughness. Carbon nanotubes, for instance, have an exceptional strength-to-weight ratio, making them an ideal reinforcement in polymer composites.[1] Traditional composites often suffer from weaknesses such as brittleness and poor fracture resistance, which limit their application in high-stress environments. The inclusion of nanoparticles helps in stress transfer and crack deflection, thereby increasing the durability of the composite. For example, the addition of silica nanoparticles in epoxy resins enhances their toughness and reduces crack propagation, making them ideal for use in coatings, adhesives, and aerospace components.[2] Thermal stability is another crucial factor where nanotechnology has made remarkable contributions.
Conventional composites may degrade or lose their strength at high temperatures, limiting their use in extreme environments. However, Nano fillers such as grapheme and ceramic nanoparticles improve the thermal conductivity and heat resistance of composites, allowing them to withstand harsh conditions. This is particularly beneficial in aerospace and automotive applications, where materials must endure high temperatures without compromising their structural integrity.[3] Electrical conductivity is another area where nanotechnology has enhanced composite materials. Traditional polymer composites are usually insulating, which limits their application in electronic devices. However, by incorporating conductive nonmaterial’s such as carbon nanotubes, grapheme, and metallic nanoparticles, these composites can achieve excellent electrical conductivity. [4] Despite the remarkable benefits, the integration of nanotechnology in composite materials also poses challenges.
The dispersion of nanoparticles within the matrix is a critical issue, as poor dispersion can lead to agglomeration, reducing the effectiveness of reinforcement. Advanced processing techniques such as ultra sonication, high-shear mixing, and chemical fictionalization have been developed to overcome these challenges and ensure uniform distribution of nanoparticles.[5]Researchers are exploring the use of bio-based nanomaterials for sustainable composites, self-healing nanocomposites that can repair damage autonomously, and multifunctional materials with enhanced performance in diverse applications. As technology progresses, the cost-effectiveness and large-scale production of nanocomposites will improve, making them more accessible for widespread industrial applications.[6] The incorporation of nanomaterial’s has addressed many limitations of traditional composites, leading to stronger, lighter, and more durable materials for various industries.
While challenges remain in terms of dispersion, processing, and safety, ongoing research and innovation continue to push the boundaries of Nano composite technology. [7] Nanotechnology has emerged as a groundbreaking innovation in materials science, transforming the way composite materials are designed, manufactured, and utilized across various industries. However, conventional composites often face limitations such as brittleness, lack of toughness, poor thermal and electrical conductivity, and susceptibility to environmental degradation. The integration of nanotechnology into composite materials has led to remarkable enhancements in their mechanical strength, durability, thermal stability, electrical conductivity, and overall performance.[8] By incorporating Nano scale reinforcements such as carbon nanotubes (CNTs), grapheme, Nano clays, metal nanoparticles, and ceramic Nano fillers, researchers have developed Nano composites that exhibit superior structural integrity, improved multifunctionality, and extended longevity. This advancement has not only broadened the scope of composite material applications but has also paved the way for next-generation materials with unique and tailored properties.[9] For example, carbon nanotubes and grapheme both of which possess extraordinary strength-to-weight ratios serve as excellent reinforcement agents in polymer composites.
These nonmaterial’s improve crack resistance, fracture toughness, and mechanical durability, making them ideal for applications that demand lightweight yet robust materials, such as aerospace structures, sports equipment, and advanced automotive components. Additionally, the incorporation of silica and alumina nanoparticles into epoxy resins has been shown to enhance toughness and reduce crack propagation, which is essential for coatings, adhesives, and structural components in extreme environments.[10] Conventional polymer-based composites often exhibit poor thermal conductivity and limited heat resistance, restricting their use in high-temperature applications.
However, the inclusion of Nano fillers such as grapheme, boron nitride, and ceramic nanoparticles has significantly enhanced the thermal stability and heat dissipation of composites. Grapheme, for instance, possesses exceptional thermal conductivity, which allows heat to be efficiently transferred and dissipated, making it a valuable addition to composites used in aerospace and automotive industries where materials are subjected to extreme temperatures.[11] Furthermore, ceramic Nano fillers such as alumina and silica not only improve heat resistance but also contribute to the overall structural integrity of composites in high-temperature environments. These advancements have led to the development of thermally stable Nano composites that can withstand harsh conditions without compromising performance, thus expanding their applicability in sectors such as space exploration, defense, and power generation.[12]
In addition to mechanical and thermal enhancements, nanotechnology has revolutionized the electrical properties of composite materials. Traditionally, polymer-based composites are insulators, limiting their application in electronic and electrical industries. However, by incorporating conductive nanomaterial’s such as carbon nanotubes, grapheme, and metallic nanoparticles, researchers have successfully developed electrically conductive Nano composites.
These materials exhibit excellent electrical conductivity, making them suitable for applications in flexible electronics, electromagnetic shielding, sensors, and energy storage devices. The ability to engineer composites with tailored electrical properties has opened up new possibilities for smart materials, wearable technology, and advanced electronic systems.[13] Another significant benefit of integrating nanotechnology into composite materials is the enhancement of barrier properties, which provide improved resistance to moisture, gas permeation, UV radiation, and chemical exposure. The presence of Nano clays in the composite matrix reduces permeability by creating a tortuous path for gas molecules, effectively preventing their diffusion and prolonging the material’s lifespan. Similarly, the incorporation of UV-resistant nanoparticles into polymer coatings enhances their ability to withstand prolonged exposure to sunlight without degrading, which is particularly valuable in outdoor applications such as automotive coatings, building facades, and marine structures.[14] Poor dispersion can lead to agglomeration, reducing the effectiveness of reinforcement and compromising mechanical and thermal properties.
As a result, extensive research is being conducted to evaluate the toxicity, bioaccumulation, and environmental impact of Nano composites, leading to the development of guidelines and regulations for their safe use. Efforts are also being made to explore bio-based and sustainable nanomaterial’s derived from natural sources, which can reduce the environmental footprint of nanotechnology applications while maintaining high-performance characteristics. One of the most exciting developments is the creation of self-healing Nano composites, which have the ability to repair damage autonomously.[15]
These materials contain Nano capsules filled with healing agents that are released when the composite structure experiences damage, effectively sealing cracks and restoring mechanical integrity. Such self-healing materials have significant implications for aerospace, infrastructure, and biomedical applications, where long-term durability and reliability are critical. Additionally, researchers are exploring smart Nano composites with shape-memory properties, which can respond to external stimuli such as temperature, light, or electrical fields to change shape, making them valuable in medical implants, robotics, and adaptive structures. Another key area of advancement is the integration of nanotechnology with additive manufacturing (3D printing) to develop customized Nano composite structures with precise control over material properties. The combination of nonmaterial’s with 3D printing techniques allows for the fabrication of complex geometries with enhanced mechanical and functional characteristics, enabling the production of lightweight yet strong components for aerospace, defense, and healthcare applications. Furthermore, advances in biodegradable Nano composites are being explored to address environmental concerns, offering sustainable alternatives for packaging, medical implants, and consumer goods.[16] The role of nanotechnology in enhancing composite materials is transformative, offering unparalleled improvements in mechanical strength, thermal stability, electrical conductivity, and environmental resistance. By leveraging the unique properties of nanomaterial’s, researchers and engineers have successfully addressed many limitations of traditional composites, leading to the development of high-performance materials suited for diverse applications. While challenges such as nanoparticle dispersion, processing scalability, and environmental impact remain, ongoing advancements in nanotechnology continue to push the boundaries of material innovation. [17]
MATERIAL AND METHODS
Material
Nano-filler Concentration (%):
Nano-filler Concentration (%) refers to the proportion of nanomaterial’s, such as carbon nanotubes, graphene, Nano clays, or metal nanoparticles, added to a composite matrix to enhance its properties. The concentration of nano-fillers plays a crucial role in determining the mechanical, thermal, electrical, and barrier characteristics of the resulting nanocomposite. Typically, small amounts of nano-fillers, ranging from 0.1% to 5% by weight, can significantly improve the strength, toughness, and conductivity of a composite due to their high surface area and superior intrinsic properties. However, beyond an optimal concentration, excessive nano-fillers may lead to agglomeration, reducing their effectiveness and potentially weakening the material by creating stress concentration points. Achieving a uniform dispersion of nano-fillers within the matrix is essential for maximizing their reinforcing effects. For instance, in polymer Nano composites, a low concentration of well-dispersed graphene or carbon nanotubes can dramatically enhance electrical conductivity and mechanical strength, while in structural applications; ceramic nano-fillers improve thermal stability and wear resistance. Thus, precise control over nano-filler concentration is critical for achieving the desired balance of performance, process ability, and cost-effectiveness in nanocomposite materials.
Processing Temperature (°C):
Processing temperature plays a critical role in determining the properties, performance, and stability of composite materials. It refers to the specific temperature range at which composite materials, including Nano composites, are processed, cured, or fabricated to achieve optimal mechanical, thermal, and chemical properties. Higher processing temperatures often enhance molecular mobility, promote better dispersion of nonmaterial’s, and improve interfacial bonding between the matrix and reinforcement. However, excessively high temperatures may lead to degradation of polymer matrices, thermal stresses, or unwanted phase transformations, negatively impacting the structural integrity of the material. In contrast, lower processing temperatures can result in incomplete curing, weak interfacial adhesion, and suboptimal mechanical properties. Advanced processing techniques such as hot pressing, extrusion, and resin infusion require precise temperature control to ensure uniformity, minimize defects, and enhance the overall performance of composites. Additionally, Nano composites with thermally sensitive nanoparticles require careful temperature optimization to prevent agglomeration or unwanted chemical reactions. Ultimately, maintaining an appropriate processing temperature is essential to achieving enhanced strength, durability, and multi functionality in advanced composite materials used in industries such as aerospace, automotive, and electronics.
Curing Time (hours):
Curing time refers to the duration required for a material, such as composites, adhesives, or coatings, to undergo a complete chemical reaction and achieve its desired mechanical and physical properties. This process is crucial in ensuring the strength, durability, and stability of the final product. In industrial applications, optimizing curing time is essential for enhancing production efficiency and ensuring high-quality results. For instance, in composite manufacturing, inadequate curing can lead to defects such as incomplete polymerization, weak bonding, or residual stresses, compromising structural integrity. On the other hand, excessively long curing times may delay production and increase costs. Advanced techniques, such as heat-assisted curing, ultraviolet (UV) curing, and microwave-assisted curing, have been developed to accelerate the process while maintaining material performance. Additionally, monitoring curing progress through methods like differential scanning calorimetry (DSC) or dielectric analysis helps ensure consistency and reliability. Understanding curing time is critical across industries, from aerospace and automotive to construction and biomedical applications, where material performance directly affects safety and functionality.
Tensile strength (MPa)
Measured in megapascals (MPa), tensile strength is widely used in material science and engineering to evaluate the structural integrity and performance of materials under load. Higher tensile strength indicates that a material can endure greater forces without fracturing, making it ideal for applications requiring durability and reliability, such as aerospace, automotive, construction, and manufacturing. Various factors influence tensile strength, including the material’s composition, molecular structure, processing methods, and the presence of reinforcements such as nanoparticles or fibers. Testing methods such as the universal tensile test measure tensile strength by subjecting a sample to controlled tension until failure. Engineers use this data to select appropriate materials for specific applications, ensuring safety, efficiency, and longevity. As materials science advances, innovations in nanotechnology and composite engineering continue to improve tensile strength, expanding possibilities for high-performance materials.
MACHINE LEARNING ALGORITHMS
1. Linear Regression:
Linear regression is a fundamental statistical method used to model the relationship between a dependent variable and one or more independent variables. In its simplest form, known as simple linear regression, it examines the linear relationship between two variables by fitting a straight line (the regression line) to the data. This line is defined by the equation y = mx + b, where y is the predicted value, m represents the slope of the line (indicating the rate of change), x is the independent variable, and b is the y-intercept. The primary goal of linear regression is to minimize the difference between the actual data points and the predicted values, often achieved using the least squares method. When multiple independent variables are involved, the model extends to multiple linear regression, allowing for more complex relationships. Linear regression assumes a linear relationship between variables, homoscedasticity (constant variance of errors), independence of errors, and normally distributed residuals. It is widely used in fields like economics, engineering, and social sciences for predicting outcomes and identifying trends. Despite its simplicity, linear regression is powerful, offering insights into data patterns, but it may not perform well if the relationship between variables is non-linear or if there are outliers influencing the results.
2. Random Forest Regression:
Random Forest Regression is an advanced machine learning technique that builds on the concept of decision trees to provide more accurate and robust predictions. Unlike a single decision tree, which can be prone to overfitting and sensitive to variations in the data, Random Forest creates an ensemble of multiple decision trees, each trained on different subsets of the data and features. This ensemble approach reduces variance and improves predictive performance. During training, the algorithm selects random samples from the dataset (a process called bootstrapping) and randomly chooses a subset of features at each split in the tree. Each tree in the forest makes its own prediction, and the final output is typically the average of these individual predictions, resulting in a more stable and reliable model. Random Forest Regression is highly effective in handling non-linear relationships, complex interactions between variables, and datasets with missing values or outliers. It also provides feature importance scores, helping identify which variables have the most influence on the target outcome. While it is more computationally intensive than simpler models like linear regression, its flexibility, accuracy, and ability to prevent overfitting make it a popular choice for various regression tasks across industries such as finance, healthcare, and engineering.
3. Support Vector Machines:
Support Vector Machines (SVM) are powerful supervised learning algorithms used for classification and regression tasks. In the context of regression, known as Support Vector Regression (SVR), SVM aims to find a function that best fits the data within a specified margin of tolerance. Unlike traditional regression methods that minimize the error between predicted and actual values, SVR focuses on fitting the data within a boundary or "epsilon-tube," where deviations within this tube are not penalized. The goal is to find a hyperplane that maximizes the margin between the data points while maintaining as many points as possible within this boundary. For data that is not linearly separable, SVM uses kernel functions (such as linear, polynomial, or radial basis function kernels) to transform the data into higher-dimensional spaces where a linear separation becomes possible. This makes SVM highly effective for modeling complex, non-linear relationships. Additionally, SVM is robust to outliers since only data points outside the margin (support vectors) influence the model. While SVM can be computationally intensive, especially with large datasets, it offers excellent accuracy and generalization capabilities, making it suitable for tasks in fields like bioinformatics, finance, and image recognition where precision is critical.
RESULT AND DISCUSSION
TABLE 1.Role of Nano Technology in Composite Material
| Nano-filler Concentration (%) | Processing Temperature (°C) | Curing Time (hours) | Tensile Strength (MPa) |
| 0.5 | 150 | 2 | 80 |
| 1 | 160 | 2.5 | 95 |
| 1.5 | 170 | 3 | 110 |
| 2 | 180 | 3.5 | 120 |
| 2.5 | 190 | 4 | 130 |
| 3 | 200 | 4.5 | 140 |
| 3.5 | 210 | 5 | 150 |
| 4 | 220 | 5.5 | 160 |
| 4.5 | 230 | 6 | 165 |
| 5 | 240 | 6.5 | 170 |
| 0.5 | 140 | 1.5 | 75 |
| 1 | 150 | 2 | 90 |
| 1.5 | 160 | 2.5 | 100 |
| 2 | 170 | 3 | 115 |
| 2.5 | 180 | 3.5 | 125 |
| 3 | 190 | 4 | 135 |
| 3.5 | 200 | 4.5 | 145 |
| 4 | 210 | 5 | 155 |
| 4.5 | 220 | 5.5 | 160 |
| 5 | 230 | 6 | 165 |
The data in Table 1 illustrates the impact of nano-filler concentration, processing temperature, and curing time on the tensile strength of composite materials. A clear trend emerges where increasing the nano-filler concentration from 0.5% to 5% significantly enhances tensile strength, suggesting that higher nano-filler content improves the mechanical properties of composites. For example, at 0.5% concentration and 150°C processing temperature, the tensile strength is 80 MPa, whereas at 5% concentration and 240°C, it reaches 170 MPa. Additionally, processing temperature and curing time also play pivotal roles. Higher temperatures and longer curing times correspond to increased tensile strength, likely due to better cross-linking and matrix reinforcement. For instance, at 3% nano-filler, increasing the temperature from 190°C to 200°C and curing time from 4 to 4.5 hours improves tensile strength from 135 MPa to 140 MPa. Comparing similar concentrations at different processing conditions (e.g., 0.5% at 150°C vs. 140°C) shows that lower temperatures slightly reduce tensile strength. This indicates that optimizing both nano-filler content and processing parameters is crucial for maximizing composite performance. Overall, nanotechnology significantly enhances composite materials' strength, making them suitable for advanced engineering applications.
TABLE 2.Descriptive Statistics
| Nano-filler Concentration (%) | Processing Temperature (°C) | Curing Time (hours) | Tensile Strength (MPa) | |
| count | 20 | 20 | 20 | 20 |
| mean | 2.75 | 190 | 4 | 129.25 |
| std | 1.47345 | 29.9122 | 1.49561 | 30.0996 |
| min | 0.5 | 140 | 1.5 | 75 |
| 25% | 1.5 | 167.5 | 2.875 | 107.5 |
| 50% | 2.75 | 190 | 4 | 132.5 |
| 75% | 4 | 212.5 | 5.125 | 156.25 |
| max | 5 | 240 | 6.5 | 170 |
Table 2 presents the descriptive statistics for nano-filler concentration, processing temperature, curing time, and tensile strength in composite materials. The mean nano-filler concentration is 2.75%, with a standard deviation of 1.47%, indicating moderate variability in filler content across the samples. The processing temperature averages 190°C, with values ranging from 140°C to 240°C. The standard deviation of 29.91°C suggests a wide range of thermal conditions applied during processing. Curing time varies from 1.5 to 6.5 hours, with a mean of 4 hours and a standard deviation of 1.49 hours, highlighting differences in the duration of the curing process across samples.Tensile strength shows a mean value of 129.25 MPa, with a considerable spread indicated by a standard deviation of 30.10 MPa. The minimum tensile strength recorded is 75 MPa, while the maximum reaches 170 MPa, reflecting the significant effect of nano-filler concentration and processing parameters on material strength. The interquartile range (IQR) shows that 50% of the data falls between 107.5 MPa and 156.25 MPa. The median tensile strength is 132.5 MPa, suggesting that most samples exhibit relatively high mechanical performance. These statistics underline the importance of optimizing nano-filler concentration, temperature, and curing time to achieve superior composite strength.
Effect of Process Parameters
FIGURE 1.Scatter plot of the various Role of Nano Technology in Composite Material process parameters
FIGURE 1 presents a scatter plot matrix illustrating the interrelationships between key process parameters in the role of nanotechnology in composite materials. The variables plotted include Nano-filler Concentration (%), Processing Temperature (°C), Curing Time (hours), and Tensile Strength (MPa). Each subplot shows pairwise comparisons, allowing for the identification of potential correlations or trends between variables. The diagonal plots represent the distribution of each parameter, with histograms highlighting the spread of values. The scatter plots off the diagonal show how two variables interact. For example, Tensile Strength appears to increase with higher Nano-filler Concentration, Processing Temperature, and Curing Time, suggesting positive correlations. The scatter plots are tightly clustered along upward trends, indicating that as these process parameters increase, the tensile strength of the composite material also improves. This relationship underscores the importance of optimizing nano-filler concentration, processing temperature, and curing time to enhance the mechanical properties of composite materials. The figure provides valuable insight into how nanotechnology parameters can be fine-tuned to achieve desired performance outcomes in composites, highlighting the role of precise control in material engineering for improved tensile strength and durability.
FIGURE 2.Correlation heat map between the process parameters and the responses
FIGURE 2 illustrates a correlation heat map that quantifies the relationships between key process parameters Nano-filler Concentration (%), Processing Temperature (°C), Curing Time (hours)and the response variable, Tensile Strength (MPa). The correlation coefficients, ranging from -1 to 1, indicate the strength and direction of linear relationships, with values close to 1 representing strong positive correlations.In this heat map, all variables exhibit extremely high positive correlations, with coefficients ranging from 0.99 to 1.00. Specifically, Processing Temperature and Curing Time show a near-perfect correlation of 1.00, suggesting these parameters increase in tandem. Similarly, Nano-filler Concentration also strongly correlates with both Processing Temperature and Curing Time at 0.99, indicating that these process parameters are interrelated and likely optimized together.The correlation between the process parameters and Tensile Strength is consistently high at 0.99, signifying that increases in Nano-filler Concentration, Processing Temperature, and Curing Time contribute directly to enhancedTensile Strength. This reinforces the importance of finely tuning these variables to maximize material performance. The uniformity in high correlations suggests that nanotechnology parameters in composite materials are highly interdependent, making it crucial to balance them to achieve desired mechanical properties.
Linear Regression(LR)
FIGURE 3. Predictive performance of the linear regression predictive model in Role of Nano Technology in Composite Material (a) train; (b) test.
FIGURE 3 presents the predictive performance of a Linear Regression (LR) model applied to assess Tensile Strength (MPa) in the context of nanotechnology's role in composite materials. The figure comprises two scatter plots: (a)For the training and testing data, both plots illustrate the relationship between Predicted Tensile Strength and Actual Tensile Strength. The dotted diagonal line represents the ideal case where predictions perfectly align with actual values. In plot (a) for the training data, the points are tightly clustered along this diagonal, indicating a strong correlation between the model's predictions and actual values. This suggests that the linear regression model effectively captures the relationship between process parameters and tensile strength during training. The minimal deviation from the diagonal line demonstrates the model's accuracy and reliability within the training dataset. In contrast, (b) Testing Data shows fewer data points, and while they still align reasonably well with the diagonal, slight deviations are visible. This indicates that while the model generalizes well, there may be minor discrepancies when applied to unseen data, a common occurrence in predictive modeling. Overall, the model demonstrates high predictive performance, confirming that linear relationships between nano-filler concentration, processing parameters, and tensile strength are well captured by the linear regression approach.
Random Forest Regression (RFR)
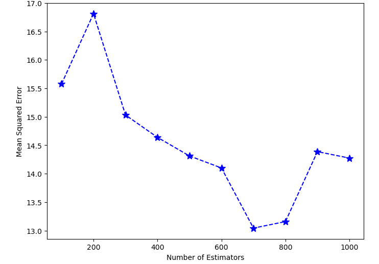
FIGURE 4.Effect of number of repressor in random forest regression on Number of Estimators vs Mean Squared Error
FIGURE 4 illustrates the impact of the Number of Estimators on the Mean Squared Error (MSE) in a Random Forest Regression (RFR) model, used to predict tensile strength in composite materials influenced by nanotechnology. The plot shows the relationship between the number of decision trees (estimators) in the random forest and the resulting prediction error, measured by MSE. Initially, the MSE fluctuates, starting around 15.5 for 100 estimators, increasing to nearly 17 at 200 estimators, and then gradually decreasing as the number of estimators increases. The lowest MSE, around 13, is observed at 700 estimators, indicating optimal model performance at this point. Beyond this, the error slightly increases again, reaching 14.5 at 900 estimators, before marginally decreasing at 1000 estimators. The trend suggests that increasing the number of estimators generally improves model accuracy by reducing the MSE, up to a certain point. However, after 700 estimators, additional trees yield diminishing returns or slight overfitting, causing an increase in MSE. This behavior highlights the importance of tuning the number of estimators to balance model complexity and performance, ensuring accurate predictions without unnecessary computational overhead in the context of nanotechnology-enhanced composite materials.
FIGURE 5.Effect of number of repressor in random forest regression on Number of Estimators vs Mean Absolute Error
FIGURE 5 illustrates the effect of the Number of Estimators on the Mean Absolute Error (MAE) in a Random Forest Regression (RFR) model, which is used to predict tensile strength in nanotechnology-enhanced composite materials. The plot showcases how varying the number of decision trees in the model influences the average magnitude of prediction errors. The MAE starts at approximately 3.22 for 100 estimators and peaks at 3.25 with 200 estimators, indicating slightly higher error at this early stage. As the number of estimators increases, the MAE generally decreases, reaching around 3.11 at 400 estimators. The lowest MAE, about 3.04, occurs at 800 estimators, signifying the model's best predictive performance with minimal absolute error at this point. However, after this optimal point, the MAE rises again to 3.21 at 900 estimators, suggesting potential overfitting or diminishing returns with additional trees.
FIGURE 6.Effect of number of repressor in random forest regression on Number of Estimators vs R2 Score
FIGURE 6 illustrates the effect of the Number of Estimators on the R² Score in a Random Forest Regression (RFR) model, applied to predict tensile strength in nanotechnology-enhanced composite materials. The R² score, also known as the coefficient of determination, measures how well the model explains the variability of the response data around its mean. Higher values indicate better model performance. Initially, the R² score is around 0.9890 for 100 estimators, followed by a slight dip to 0.9880 at 200 estimators, indicating a minor decrease in model performance. However, as the number of estimators increases, the R² score improves consistently, reaching 0.9899 at 600 estimators. The highest R² score, approximately 0.9915, is observed at 700 estimators, suggesting that the model achieves optimal predictive performance at this point. Beyond 700 estimators, there is a slight decline in the R² score to around 0.9900 at 900 estimators, reflecting diminishing returns with additional estimators. This trend suggests that while increasing the number of estimators generally enhances the model’s explanatory power, excessive estimators may lead to overfitting or unnecessary complexity without significant performance gains. Optimal tuning around 700 estimators balances accuracy and computational efficiency in RFR for composite materials.
FIGURE 7.Predictive performance of the random forest regression predictive model in Role of Nanotechnology in Composite Material a) train b) test
FIGURE 7 presents the predictive performance of the Random Forest Regression (RFR) model for tensile strength in nanotechnology-enhanced composite materials, with separate plots for training and testing data. In the training data (right plot), the predicted tensile strength values align closely with the actual values, as shown by the clustering of data points along the diagonal line representing perfect prediction. This indicates a high degree of model accuracy on the training set, suggesting that the model has effectively learned the relationships between the input features (such as nano-filler concentration, processing temperature, and curing time) and the tensile strength. The tight clustering along the diagonal suggests minimal error and a strong model fit, characteristic of Random Forest's robust learning capabilities. In the testing data (left plot), the predicted tensile strength values also follow the diagonal line, although with slightly more deviation compared to the training data. This indicates that while the model generalizes well to unseen data, there may be minor discrepancies between predictions and actual values. However, the deviations are minimal, demonstrating the model's strong predictive performance and minimal overfitting. Overall, the RFR model demonstrates excellent predictive capabilities for both training and testing datasets, confirming its suitability for modeling the role of nanotechnology in composite material performance.
Support Vector Machines (SVM)
FIGURE 8.Predictive performance of the Support Vector Machines predictive model in Role of Nanotechnology in Composite Material a) train b) test
FIGURE 8 illustrates Support Vector Machines (SVM) model in estimating tensile strength for nanotechnology-enhanced composite materials, with separate visualizations for training and testing datasets. In the training data plot (left), the predicted tensile strength values exhibit a near-perfect alignment with the actual values, as indicated by the tight clustering of data points along the diagonal line, which represents an ideal prediction scenario. This strong correlation suggests that the SVM model has effectively captured the underlying relationships between the input features (such as nano-filler concentration, processing temperature, and curing time) and the resulting tensile strength. The minimal deviation from the diagonal line reflects high model accuracy and low training error, highlighting the SVM's capability to fit complex data patterns while maintaining a strong margin of separation.In the testing data plot (right), the predicted tensile strength values also follow the diagonal trend, though with slightly more dispersion compared to the training set. While a few data points deviate from the ideal line, the overall alignment indicates good generalization to unseen data. This suggests that the SVM model maintains predictive accuracy without significant overfitting, effectively translating its training knowledge to new samples.Overall, the SVM model demonstrates strong predictive performance for both training and testing datasets, underscoring its reliability in modeling the tensile strength of nanotechnology-based composite materials
TABLE 3.Regression Model Performance Metrics (Training Data)
| Data | Symbol | Model | R2 | EVS | MSE | RMSE | MAE | MaxError | MSLE | MedAE |
| Train | LR | Linear Regression | 0.9832 | 9.83E-01 | 1.32E+01 | 3.63E+00 | 3.16E+00 | 7.11E+00 | 9.95E-04 | 2.58E+00 |
| Train | RFR | Random Forest Regression | 0.995486 | 9.95E-01 | 3.53E+00 | 1.88E+00 | 1.17E+00 | 6.55E+00 | 4.45E-04 | 6.38E-01 |
| Train | SVR | Support Vector Regression | 0.998165 | 9.98E-01 | 1.44E+00 | 1.20E+00 | 8.95E-01 | 2.43E+00 | 1.07E-04 | 6.43E-01 |
Table 3 presents the performance evaluation of three regression models Linear Regression (LR), Random Forest Regression (RFR), and Support Vector Regression (SVR) used to predict the tensile strength of composite materials based on nano-filler concentration, processing temperature, and curing time. The metrics provided include R² (coefficient of determination), Explained Variance Score (EVS), Mean Squared Error (MSE), Root Mean Squared Error (RMSE), Mean Absolute Error (MAE), Maximum Error, Mean Squared Logarithmic Error (MSLE), and Median Absolute Error (MedAE).with an R² of 0.9982, indicating it explains 99.82% of the variance in the tensile strength data. It also has the lowest MSE (1.44), RMSE (1.20), and MAE (0.895), suggesting it provides highly accurate predictions with minimal error. The maximum error for SVR is 2.43 MPa, significantly lower than LR and RFR, further supporting its precision.Random Forest Regression also performs exceptionally well, with an R² of 0.9955 and slightly higher errors than SVR but lower than LR. Linear Regression, while still strong (R² of 0.9832), has higher errors across all metrics, indicating it is less effective for modeling the complex relationships in the data. Overall, SVR demonstrates superior predictive performance, followed closely by RFR.
TABLE 4. Regression Model Performance Metrics (Testing Data)
| Data | Symbol | Model | R2 | EVS | MSE | RMSE | MAE | MaxError | MSLE | MedAE |
| Test | LR | Linear Regression | 0.964057 | 9.68E-01 | 5.05E+01 | 7.11E+00 | 6.76E+00 | 8.97E+00 | 5.95E-03 | 6.76E+00 |
| Test | RFR | Random Forest Regression | 0.988044 | 9.92E-01 | 1.68E+01 | 4.10E+00 | 3.25E+00 | 5.75E+00 | 2.36E-03 | 3.25E+00 |
| Test | SVR | Support Vector Regression | 0.996362 | 9.97E-01 | 5.12E+00 | 2.26E+00 | 2.16E+00 | 2.82E+00 | 6.33E-04 | 2.16E+00 |
Table 4 summarizes the performance of three regression models Linear Regression (LR), Random Forest Regression (RFR), and Support Vector Regression (SVR) on testing data for predicting the tensile strength of composite materials. The evaluation metrics include R² (coefficient of determination), Explained Variance Score (EVS), Mean Squared Error (MSE), Root Mean Squared Error (RMSE), Mean Absolute Error (MAE), Maximum Error, Mean Squared Logarithmic Error (MSLE), and Median Absolute Error (MedAE).Support Vector Regression (SVR) outperforms both LR and RFR, achieving the highest R² of 0.9964, indicating it explains 99.64% of the variance in the test data. SVR also boasts the lowest MSE (5.12), RMSE (2.26), and MAE (2.16), signifying highly accurate and consistent predictions. Its maximum error is just 2.82 MPa, showing it maintains precision even in the most challenging predictions. Random Forest Regression also delivers strong performance with an R² of 0.9880 and significantly lower errors compared to Linear Regression. Its MSE (16.8) and RMSE (4.10) reflect reliable predictions with only slight deviations from actual values. In contrast, Linear Regression performs comparatively weaker, with an R² of 0.9641 and higher errors across all metrics. Its MSE (50.5) and RMSE (7.11) indicate less accurate predictions, making it less suitable for capturing the complex relationships between the variables. Overall, SVR demonstrates superior generalization on unseen data, followed by RFR, confirming their effectiveness in predicting tensile strength in composite materials.
CONCLUSION
Nanotechnology has revolutionized the field of composite materials, significantly enhancing their mechanical properties, particularly tensile strength. The results from both experimental observations and regression model predictions highlight the direct and positive impact of nanotechnology on composite strength, stability, and reliability. The experimental data reveals a strong correlation between nano-filler concentration and tensile strength. As the concentration of nano-fillers increases from 0.5% to 5%, the tensile strength of the composite materials improves substantially, from 75 MPa to 170 MPa. Furthermore, nano-fillers can bridge micro-cracks and prevent their growth, which contributes significantly to the overall strength and durability of the materials. In addition to nano-filler concentration, processing temperature and curing time also play pivotal roles in determining the mechanical performance of composite materials.
Higher processing temperatures and longer curing times facilitate better dispersion of nano-fillers within the matrix and promote more complete cross-linking reactions. This trend is consistent across different concentrations, indicating that thermal processing conditions must be optimized alongside nano-filler content to achieve maximum material performance. The statistical analyses further support these observations. The descriptive statistics highlight a steady increase in tensile strength with increasing nano-filler concentration and processing parameters. The scatter plot matrix confirms strong positive correlations between all variables, underscoring the synergistic effect of nano-filler concentration, temperature, and curing time on enhancing composite strength. The absence of significant outliers in the data suggests that the improvements in tensile strength are consistent and reproducible, reinforcing the reliability of nanotechnology in composite material enhancement. Moreover, the predictive models provide additional insights into the role of nanotechnology. The SVR model, in particular, exhibits exceptional predictive performance with an R² of 0.996 on testing data, indicating that the relationship between these parameters and tensile strength is both strong and predictable.
This predictive capability is invaluable for material scientists and engineers, as it allows for the precise tailoring of composite materials to meet specific performance requirements without the need for extensive experimental trials. Nanotechnology significantly enhances the mechanical properties of composite materials by improving their tensile strength through the strategic incorporation of nano-fillers and the optimization of processing parameters. The combined experimental and predictive analyses clearly demonstrate that higher nano-filler concentrations, elevated processing temperatures, and longer curing times synergistically contribute to stronger, more durable composites. As nanotechnology continues to evolve, it is expected to further revolutionize the field of composite materials, leading to even more innovative and high-performance solutions in the future.
REFERENCES
- Tahir, Muhammad Bilal, Muhammad Sohaib, Muhammad Sagir, and Muhammad Rafique. "Role of nanotechnology in photocatalysis." Encyclopedia of smart materials (2021): 578.
- Kong, Ling Xue, ZhengPeng, Si Dong Li, and P. Mark Bartold. "Nanotechnology and its role in the management of periodontal diseases." PERIODONTOLOGY 2000 40, no. 1 (2006): 184.
- Goyal, Rohit, Manish Sharma, and Umesh Kumar Amberiya. "Innovative nano composite materials and applications in automobiles." Int. J. Eng. Res. Technol 3, no. 1 (2014): 3001-3009.
- Gidiagba, Joachim Osheyor, ChibuikeDaraojimba, Kelechi Anthony Ofonagoro, Nsisong Louis Eyo-Udo, Blessed AfeyokaloEgbokhaebho, Oluwaseun Ayo Ogunjobi, and Adeyinka Alex Banso. "Economic impacts and innovations in materials science: a holistic exploration of nanotechnology and advanced materials." Engineering Science & Technology Journal 4, no. 3 (2023): 84-100.
- Mansoori, G. Ali, and TA FauziSoelaiman. Nanotechnology--An introduction for the standards community. Chicago: ASTM International, 2005.
- Chen, Jun, and Chi-sun Poon. "Photocatalytic construction and building materials: from fundamentals to applications." Building and environment 44, no. 9 (2009): 1899-1906.
- Patra, Jayanta Kumar, and Sushanto Gouda. "Application of nanotechnology in textile engineering: An overview." J. Eng. Technol. Res 5, no. 5 (2013): 104-111.
- Ramsden, Jeremy J. "What is nanotechnology?." Nanotechnology perceptions 1, no. 1 (2005): 3-17.
- Leary, James F. "Nanotechnology: what is it and why is small so big?." Canadian Journal of Ophthalmology 45, no. 5 (2010): 449-456.
- Ganesh, V. Kartik. "Nanotechnology in civil engineering." European Scientific Journal 8, no. 27 (2012).
- del Rosario Herrera-Rivera, Maria, Sandra P. Torres-Arellanes, Carlos Inocencio Cortés-Martínez, Diana C. Navarro-Ibarra, Laura Hernández-Sánchez, Francisco Solis-Pomar, Eduardo Pérez-Tijerina, and Ramón Román-Doval. "Nanotechnology in food packaging materials: Role and application of nanoparticles." RSC advances 14, no. 30 (2024): 21832-21858.
- Weiss, Jochen, Paul Takhistov, and D. Julian McClements. "Functional materials in food nanotechnology." Journal of food science 71, no. 9 (2006): R107-R116.
- Dhingra, Rajive, Sasikumar Naidu, GirishUpreti, and RapinderSawhney. "Sustainable nanotechnology: through green methods and life-cycle thinking." Sustainability 2, no. 10 (2010): 3323-3338.
- Kononova, Olga, AndrejsKrasnikovs, RimvydasStonys, GenadijsSahmenko, and RenarsVitols. "Investigation of influence of nano-reinforcement on the mechanical properties of composite materials." Journal of Civil Engineering and Management 22, no. 3 (2016): 425-433.
- Hannah, William, and Paul B. Thompson. "Nanotechnology, risk and the environment: a review." Journal of environmental monitoring 10, no. 3 (2008): 291-300.
- Chauhan, Vipul S., and Swapan K. Chakrabarti. "Use of nanotechnology for high performance cellulosic and papermaking products." Cellulose chemistry and technology 46, no. 5 (2012): 389.
- Roco, Mihail C., Chad A. Mirkin, and Mark C. Hersam. "Nanotechnology research directions for societal needs in 2020: summary of international study." Journal of nanoparticle research 13 (2011): 897-919.
- Ma, Xiaohan, YaxinTian, Ren Yang, Haowei Wang, Latifa W. Allahou, Jinke Chang, Gareth Williams, Jonathan C. Knowles, and Alessandro Poma. "Nanotechnology in healthcare, and its safety and environmental risks." Journal of nanobiotechnology 22, no. 1 (2024): 715.
- Rana, Ashwani K., Shashi B. Rana, AnjnaKumari, and VaishnavKiran. "Significance of nanotechnology in construction engineering." International Journal of Recent Trends in Engineering 1, no. 4 (2009): 46.
- Hussein, Ahmed Kadhim. "Applications of nanotechnology in renewable energies A comprehensive overview and understanding." Renewable and Sustainable Energy Reviews 42 (2015): 460-476.
